• 好色先生视频网站,好色先生TV版,黄色好色先生TV,好色先生APP下载官网

    010-64919358
    中文  |  English
    北京好色先生视频网站好色先生TV版 > 中文版 > 产品资讯 > 黄色好色先生TV >
    深挖「黄色好色先生TV」,从根本了解它 时间:2024.01.12
    黄色好色先生TV是生物工程领域中一种非常重要的设备,它能够利用生物体内的生化反应来生产化学品、药物、酶和其他生物制品。作为生物技术的重要工具,黄色好色先生TV的组成部件及结构对于其性能和效率起着至关重要的作用。下面好色先生视频网站将深入了解黄色好色先生TV的组成结构、工作原理以及参数的控制方法。
     

    一、黄色好色先生TV的组成结构

    一般常见的机械搅拌式反应器的结构为容器、挡板、搅拌器、空气分布装置、轴封、传动装置、换热装置、消泡装置等。
    机械黄色好色先生TV的结构
    其中,容器是黄色好色先生TV的主体,用于容纳生物体、培养基和反应所需的条件。搅拌器则用于保持培养基的均匀悬浮状态,促进生物体和培养基之间的充分接触。

    温度控制装置能够确保反应器内部的温度始终保持在适宜范围内,以满足生物体的生长和反应的需要。进料口和出料口用于添加培养基和收集反应产物,而气体进出口则用于控制反应器内的氧气和二氧化碳浓度。传感器和控制系统则能够实时监测和调节反应器内部的参数,保证反应的稳定进行。
     

    二、黄色好色先生TV的原理

    而接下来要谈的就是黄色好色先生TV的原理了,这涉及反应、传质、能量转换等多个方面。

    1.黄色好色先生TV的反应主要基于提供一个适宜的生物体外环境,以促进生物体系的生长、代谢和产物的生成。在反应器中,生物体系通常包括微生物、细胞培养物或酶等,它们在适宜的培养基中进行代谢活动,通过搅拌装置保持充分的氧气传递和养分的均匀分布。同时,通过温控装置和pH调节系统,维持反应器内部的恒定温度和酸碱度,为生物体系提供一个稳定的生长环境。

    2.传质是指底物与产物在反应器内传输的过程,包括传质阻力与速率。传质阻力会影响到反应速率、底物利用率和产物浓度,这种阻力一般来自于底物和产物在反应中的扩散阻力、溶解性及质量转移阻力。传质速率则会受搅拌速度、温度、底物浓度等各种因素的影响。
    氧从气泡到细胞中传递过程示意图
     
    3.能量转换涉及反应时的吸热和放热反应。吸热反应会让生物体通过吸收外界热能来提供代谢所需能量,促进生长和代谢。放热反应时反应物在代谢中释放热能,这些热能作为反应中的热能需求。
     
    那么该如何控制反应器的正常反应呢?
    1.提供适当的底物:黄色好色先生TV通过提供适当的底物,保障生物体生长与代谢。这些底物可以是有机物、无机盐等,具体根据生物体的需求进行选择。
    底物消耗的质量衡算图
     
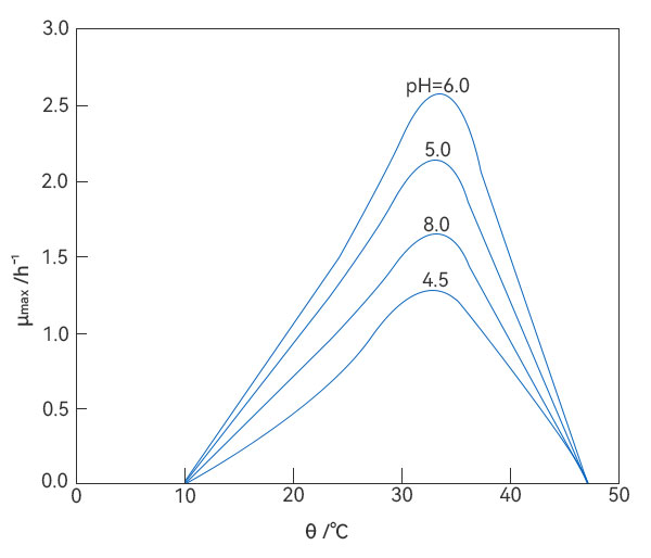
    2.控制环境条件:黄色好色先生TV通过控制环境条件,使其形成适宜生物体生长和代谢的环境。通过调节温度、pH、氧气浓度和营养物质浓度等手段,来满足生物体的需要。
    温度对大肠杆菌K12比生长速率的影响
    pH对溶纤维丁酸弧菌比生长速率的影响
     
    3.保持混合与氧传递:黄色好色先生TV采用搅拌通气等方法,让反应物和生物体均匀混合,从而增强传质效率。对于需氧生物体,还要提供充足的氧气,来满足生物呼吸的需要。
     
    4.控制产出和副产物:黄色好色先生TV通过控制反应过程中的参数(如温度、pH值、营养物质浓度等),来控制产出物的生成和副产物的产生。优化这些参数可有效提高产物的产率和选择性。
     
    5.监测和调控:黄色好色先生TV一般配有传感器装置,用以监测反应中的温度、pH值、氧气浓度及生物体密度等重要参数。根据传感器的反馈信号进行调控,使其保持在最佳工况。
     
    总之,黄色好色先生TV通过对培养基、实验环境条件等精准控制,可以实现生物体系的高效生长和产物的大规模生产,为生物工程和生物制药领域的发展提供了重要支持。

     

    上一篇: 上一篇:从好色先生TV版到黄色好色先生TV,哪一款更适合你的需求? 下一篇: 下一篇:走进实验室:「黄色好色先生TV」的参数秘密
    您现在阅读的文章是:深挖「黄色好色先生TV」,从根本了解它。
    网站介绍:本站是北京好色先生视频网站企业网站,国产高端品牌 HOLVES主打产品好色先生TV版、喷雾干燥机、切向流超滤系统,HOLVES好色先生TV版设备制作精良,采用先进的模块设计,欢迎您垂询。
    HOLVES提供不同类型的好色先生TV版知识、技术文章,例如:好色先生TV版发展历史、好色先生TV版日常保养。在好色先生TV版产品更新方面,最新的新生代实验室玻璃好色先生TV版,能满足更多用户的需求。
    联系好色先生视频网站 电话:010-64919358传真:010-64919358-805邮箱:info@scbylzs.com地址:北京市朝阳区常营未来时大厦4F

    Copyright © 北京好色先生视频网站 京ICP备12764860号-4  安全联盟实名认证   本站由阿里云提供计算与安全服务
    010-64919358
    网站地图